Привет, прошу как можно быстрее ответы только чтобе все было по полочкам поставлено и было понятно
ПОЖАЛУСТА ЭТО ОЧЕНЬ СРОЧНО
Приложения:

nagibator5463:
Ребят пж как можно быстарее очень срочно
Ответы
Ответ дал:
2
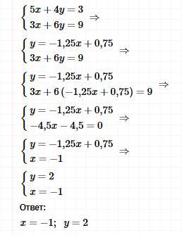
1. Ответ: (-1;2) Решение во вложении.
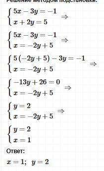
3. Решение во вложении
4. Решение во вложении
5. Одна доска весит 8 кг, один кирпич весит 5 кг. РЕШЕНИЕ ВО ВЛОЖЕНИИ.
Остальное лень :/
Объяснение:
Приложения:




Вас заинтересует
2 года назад
2 года назад
2 года назад
7 лет назад