• Предмет: Алгебра
  • Автор: sashalivttsov
  • Вопрос задан 3 года назад

сделайте пожеееееееее

Приложения:

afet74: тут в 4-ом степень х пишите четно, не видно
afet74: четко
afet74: степень
sashalivttsov: 3 там

Ответы

Ответ дал: afet74
1

Ответ:

Объяснение:

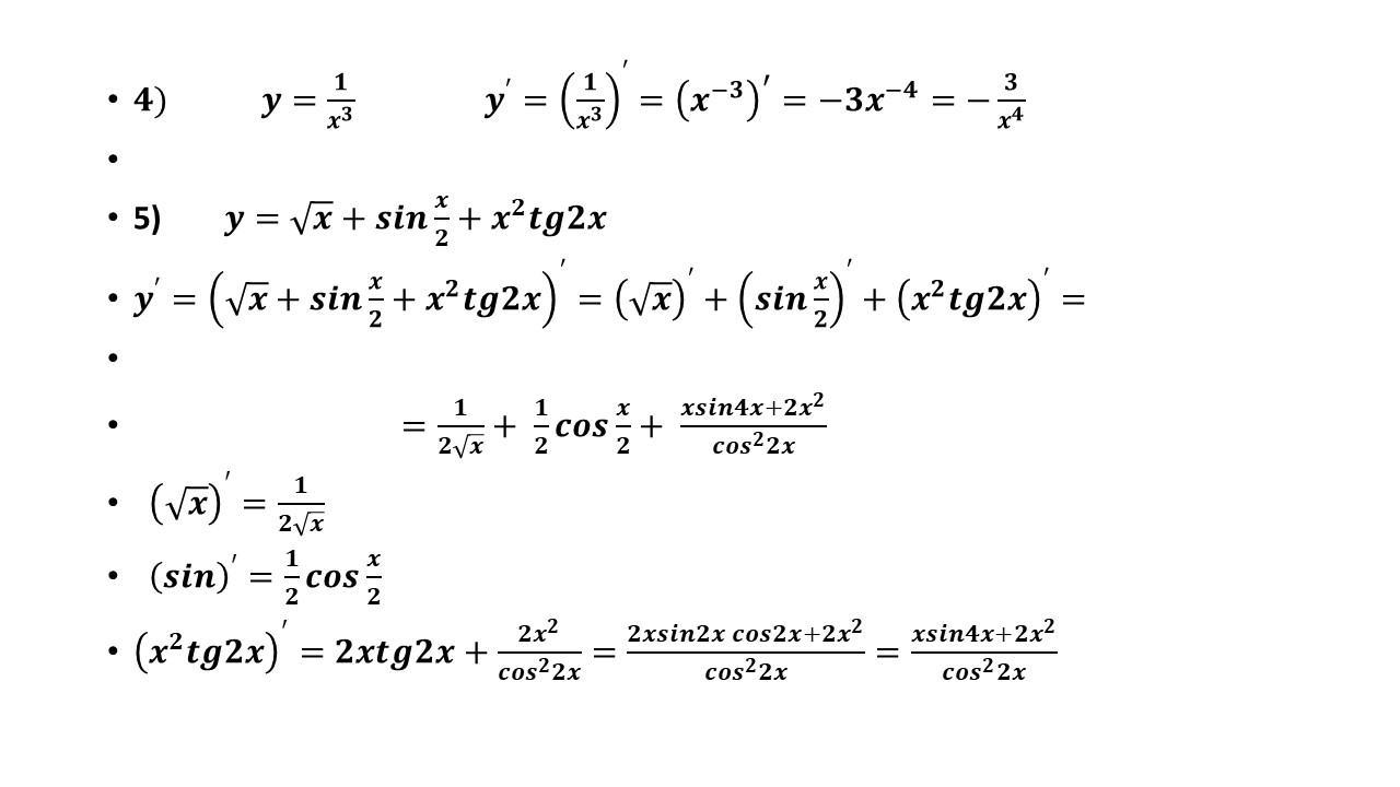
na foto

Приложения:

sashalivttsov: а как в 4 получилось
afet74: о чем ты?
afet74: 4. -3/х^4 otvet tam napisano
afet74: теперь с объяснением
Вас заинтересует