• Предмет: Алгебра
  • Автор: Robot301
  • Вопрос задан 3 года назад

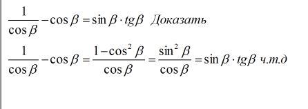
1/cosβ-cosβ=sinβ*tgβ

помогите решить тождество

Ответы

Ответ дал: stanmat
1

........................

Приложения:
Вас заинтересует