Ответы
Ответ дал:
0
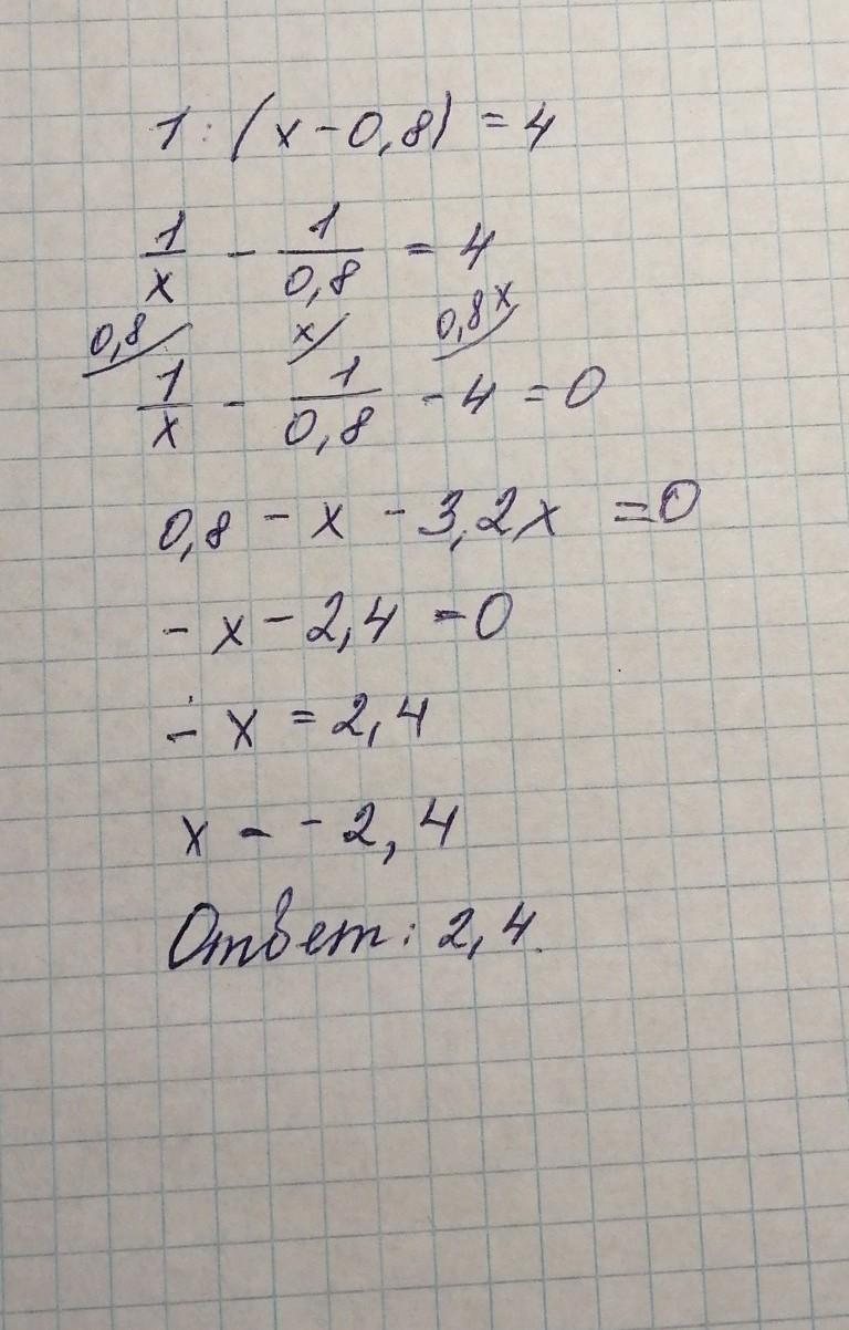
Ответ:
2,4
Пошаговое объяснение:
Сначала открываем скобки, затем переносим 4 с противоположным знаком, приводим к общему знаменателю, приводим подобные. Получаем простое уравнение.
Приложения:

Вас заинтересует
2 года назад
2 года назад
2 года назад
2 года назад
7 лет назад
7 лет назад
9 лет назад