• Предмет: Алгебра
  • Автор: ggvpeshnik
  • Вопрос задан 3 года назад

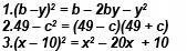
есть ли тут ошибки?!?!

Приложения:

Ответы

Ответ дал: yakuninvadim16
0

Ответ:

здесь нет ошибок

Объяснение:

все правильно

Ответ дал: DKdoesntWearsPrada
0

в каждом ошибка

1) (b-y)²=b²-2by+y²

2)49-c²=(7-c)(7+c)

3)(x-10)²=x²-20x+100

Вас заинтересует