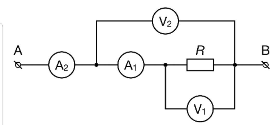
Из двух одинаковых амперметров и двух одинаковых вольтметров собрана цепь, изображённая на рисунке. Выводы A и B цепи подключены к источнику тока. Показания приборов: I2=60мА, I1=50 мА, U2=10 В, U1=9,9 В. Определите собственные сопротивления вольтметра и амперметра, а также сопротивление резистора R. Ответы выразите в омах, округлите до целых чисел. Введите каждый ответ в отдельное поле в указанном порядке.

Ответы
Ответ:
R(V)=1000 Ом
R(A)=2 Ом
R(R)=247 Ом
Объяснение:
1) Напряжение резистора и первого вольтметра равно, и при этом в сумме с напряжением первого амперметра, полученное напряжение, будет равно показанию второго вольтметра, а ток протекающий через всю схему равен показанию второго амперметра.
2) Так как по второму амперметру течет ток 60 мА, а по первому 50 мА, то по второму вольтметру течет ток в 10 мА, следовательно из того, что вольтметры одинаковые, сопротивление вольтметров равно 1000 Ом.
3) Из того, что сопротивление вольтметров 1000 Ом, то ток текущий по первому вольтметру равен 9,9 мА , следовательно по резистору течет ток в 40.1 мА, следовательно сопротивление резистора 247 Ом.
4) Сопротивление же амперметров равно 2 Ом, так как из всех данных можно составить уравнение, из которого выходит ответ (мне не хотелось расписывать полное решение)