• Предмет: Химия
  • Автор: NWUESW
  • Вопрос задан 3 года назад

Допоможіть будь ласка із ціма завданнями

Приложения:

Ответы

Ответ дал: kononovfelix
0

4. а) Fe(OH)3 ---> Fe2O3 ---> Fe(NO3)3 ---> Fe(OH)3

2Fe(OH)3 = Fe2O3 + 3H2O

Fe2O3 + 6HNO3 = 2Fe(NO3)3 + 3H2O

Fe(NO3)3 + 3NaOH = Fe(OH)3 + 3NaNO3

б) Na2O ---> NaOH ---> Na2SO4 ---> NaCl

Na2O + H2O = 2NaOH

2NaOH + H2SO4 = Na2SO4 + 2H2O

Na2SO4 + BaCl2 = 2NaCl + BaSO4

5. 1 метод . взаємодією натрій гідроксиду та сульфатної кислоти

2NaOH + H2SO4 = Na2SO4 + 2H2O

2 метод. взаємодією натрію та сульфатної кислоти

2Na + H2SO4 = Na2SO4 + H2

3 метод. взаємодією натрій оксиду та сульфатної кислоти

Na2O + H2SO4 = Na2SO4 + H2O

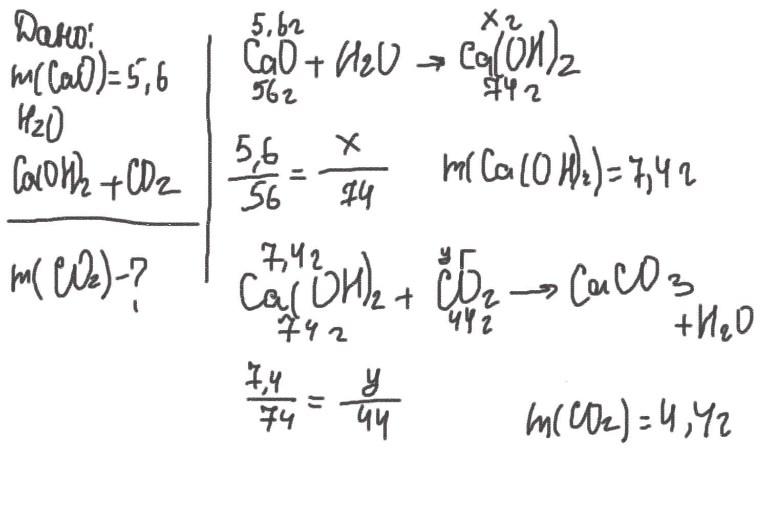
6.  Відповідь: 4,4 г СО2

Приложения:
Вас заинтересует