• Предмет: Алгебра
  • Автор: sonaromanova87
  • Вопрос задан 3 года назад

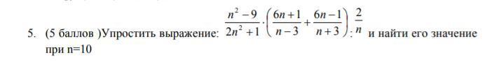
Помогите, срочно, алгебра. Дам максимальное количество баллов!

Приложения:

Ответы

Ответ дал: Katkovb587
0

Ответ:

30

Объяснение:

Просто подставляешь вместо n 10 и решаешь

если более подробно

1) \frac{10^2-9}{2*10^2+1}*(\frac{6*10+1}{10-3}+\frac{6*10-1}{10+3})/\frac{2}{10}

2) \frac{100-9}{2*100+1}*(\frac{60+1}{7}+\frac{60-1}{13})*\frac{10}{2}

3) \frac{91}{200+1}*(\frac{61}{7}+\frac{59}{13})*5

4) \frac{91}{201}*\frac{1206}{91}*5

5) 6*5

6) 30

Ответ дал: larindaniil2003
1

Ответ:

(n-3)(n+3)/2n²+1*(12n²+36n)/(n+3)*(n-3):2/n

3/(n-1)

Ответ:1/3

(Прошу прощения за неполное решение,но ответ 100 процентов правильный,решал по своему и просто записывал полученное,вам записать через клавиатуру не смогу)

Объяснение:


sonaromanova87: Ну, блин, мне полный нужен :(
larindaniil2003: Я сам сейчас уроки делаю,прости(
Вас заинтересует