Помогите пж
ДАЮ 100 БАЛЛОВ
На 2 фотке образец, как делать


Ответы
Ответ:
Пошаговое объяснение:


Пошаговое объяснение: 16 - 6 = 10 = 9+1 10 последные примеры
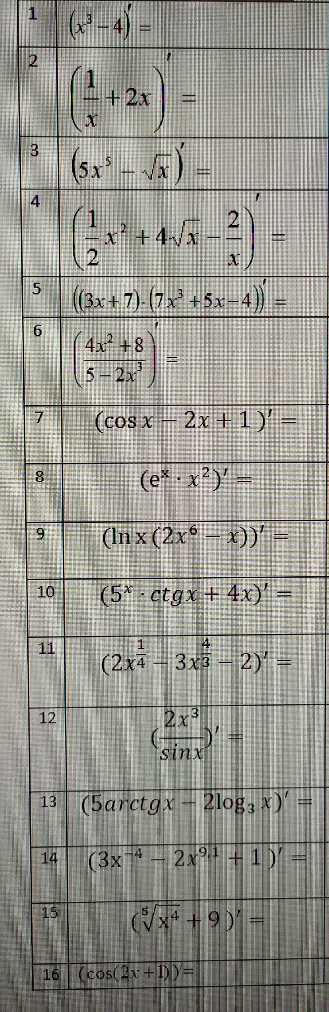
7 . (cosx - 2x + 1)' = (cosx )' - (2x) ' + (1)' = - sinx - 2*(x)'+ 0 = - (sinx + 2).
8. (eˣ *x²) ' = (eˣ) ' *x² +eˣ *(x²) ' =eˣ *x² +eˣ *2x = xeˣ(x +2) .
9.( lnx(2x⁶ -x) ) ' =( lnx) '*(2x⁶ -x)+ lnx*(2x⁶ -x) '= (1/x)*x( 2x⁵ -1) + lnx*(2*6x⁵ -1) =
2x⁵ -1 + (12x⁵ -1) lnx .
10. (5ˣ *ctgx +4x)' = (5ˣ *ctgx) ' + (4x)' =(5ˣ )'*ctgx +5ˣ*(ctgx) ' +4 =
5ˣln5ctgx +5ˣ*(-1/sin²x) + 4 = 5ˣ(ln5ctgx - 1/sin²x) + 4 =
5ˣ(ln5ctgx - 1 - ctd²x ) + 4 .
11. ( 2x^(1/4) -3(x ^4/3) -2) ' = ( 2x^(1/4) ) -( 3(x ^4/3) ) ' -(2) ' =
( 2*(1/4)(x^(1/4 -1)) -3*(4/3)(x ^(4/3-1) -0 = (1/2)*x^(-3/4) - 4x^(1/3) =
0.5 / ⁴√x³ - 4∛x .
12. (2x³/sinx) ' =2(x³/sinx) ' =2( (x³) ' sinx - x³*(sinx) ' )/sin²x =
2( 3x²sinx - x³*cosx ) /sin²x = 2x²(3sinx -xcosx) / /sin²x .
13. (5arctgx -2log₃x)' =. (5arctgx)' -(2log₃x)' =5(arctgx)' -2(log₃x)' =
-5/(1+ x²) -2 / xln3.
14. (3x⁻ ⁴ -2x^(-0,1) +1) ' = (3x⁻ ⁴ )' -( 2x^(-0,1) ) '+(1) ' =
3(x⁻ ⁴ )' - 2(x^(-0,1) ) '+0 =3*(-4)x⁻ ⁵ -2*(-0,1)*x ^(-0,1 -1) =
-12x⁻ ⁵ +2,2*x ^(-1,1) .
15. ( ⁵√x⁴ +9) ' = ( x^(4/5) +9) '= ( x^(4/5) ) ' +(9) '=(4/5)*x^(4/5 -1) +0=
(4/5)*x^(-1//5 ) =(4/5) / x(1//5 ) = 0,8 / ⁵√x .
16. (cos2x +1) ' = (cos2x) ' + (1) ' = -sin2x*(2x)' +0 = -2sin2x .
+ + + + + + + + + + + + + + + + + + + + + + + + + + + + + + + + + + +
УДАЧИ !