• Предмет: Алгебра
  • Автор: abnormal2213
  • Вопрос задан 3 года назад

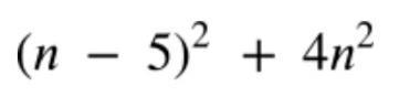
Докажите, что при всех целых значениях n выражение делится нацело на 5

Приложения:

Ответы

Ответ дал: 3metana
1

Ответ:

В решении

Объяснение:

(n-5)^{2}+4n^{2}=n^{2}-10n+25+4n^{2}=5n^{2}-10n+25=5*(n^{2}-2n+5). Один из множителей 5, значит, всё выражение делится на 5 при любом целом n.

Вас заинтересует