• Предмет: Алгебра
  • Автор: sashalivttsov
  • Вопрос задан 3 года назад

только самые умные (очень сложное)!!!!

Приложения:

sashalivttsov: на листочке пожалуйста

Ответы

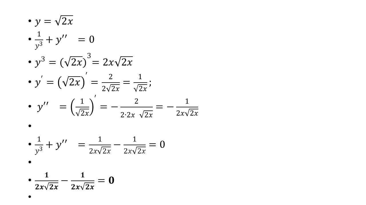
Ответ дал: afet74
2

Ответ:

Объяснение:

na foto

Приложения:

sashalivttsov: https://znanija.com/task/37397134 можете еще 4 глянуть
sashalivttsov: и под (б) в5
afet74: 4 и 5(в)? двух?
sashalivttsov: 5 б
sashalivttsov: 4 срочно
afet74: 4-ом степень х какой?
sashalivttsov: 3 должно
Вас заинтересует