• Предмет: Математика
  • Автор: fadyacool32
  • Вопрос задан 3 года назад

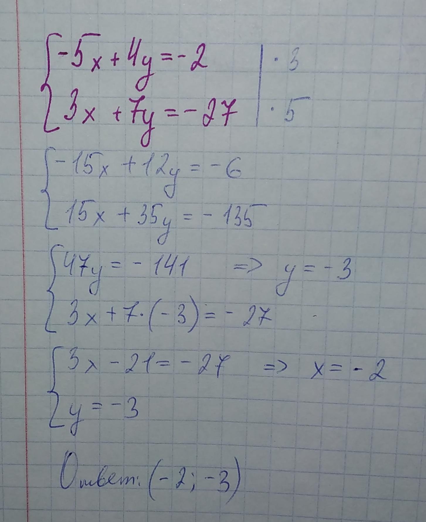
Решите пожалуйста
{-5x+4y=-2
{3x+7y=-27

Ответы

Ответ дал: ViktoriaPobloki
3

_______________________

Приложения:
Вас заинтересует