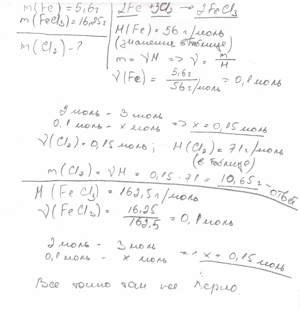
Железо массой 5,6 г полностью прореагировало с хлоромCl2 с образованием вещества FeCl3 массой 16,25 г. Составьте уравнение реакции и рассчитайте массу прореагировавшего хлора.
Пожалуйста, кто решит напишите само решение, со всеми данными и последовательностью.
Ответы
Ответ дал:
0
масса FeCl3 не обязательно... Но её можно использовать как и при решении, так и при проверке задачи
Приложения:

Вас заинтересует
2 года назад
2 года назад
8 лет назад
10 лет назад
10 лет назад
10 лет назад