Ответы
Ответ дал:
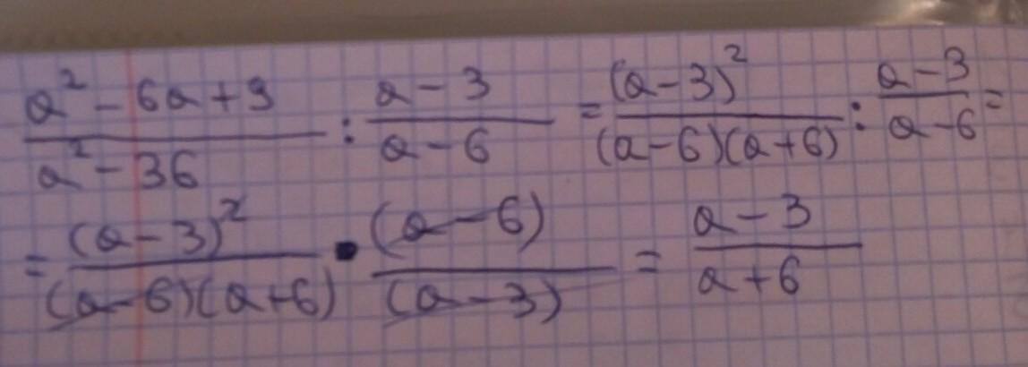
19
Ответ:
Удачи закончить учебный год на отлично
Приложения:

popAdyuk982341:
СПАСИБО
Вас заинтересует
2 года назад
2 года назад
7 лет назад
9 лет назад