Ответы
Ответ дал:
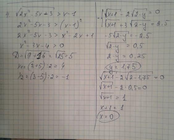
0
/////////////////////////////////////////////////////////////////////
Приложения:





Ответ дал:
0
,,,,,,,,,,,,,,,,,,,,,,,,,,,,,,,,,
Приложения:


Вас заинтересует
2 года назад
2 года назад
8 лет назад
8 лет назад
10 лет назад
10 лет назад