• Предмет: Математика
  • Автор: Аноним
  • Вопрос задан 3 года назад

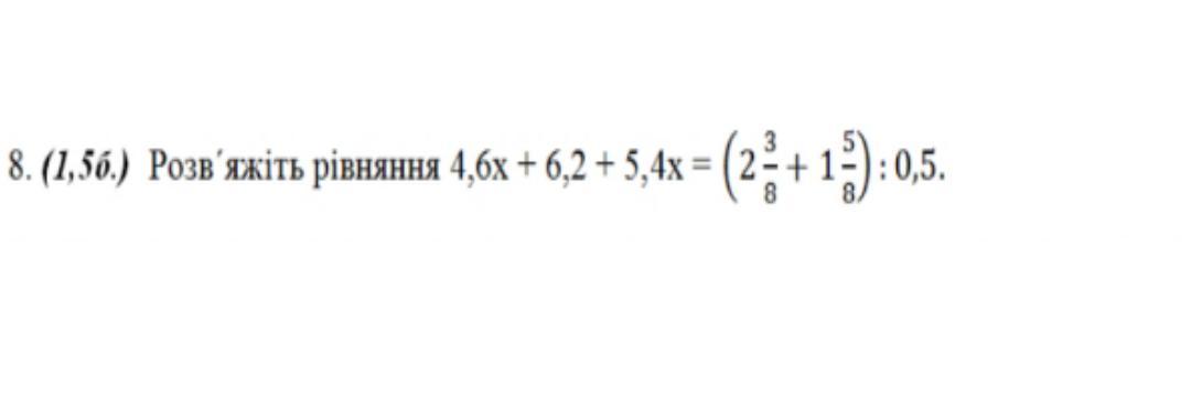
Помогите кто может, заранее спасибо

Приложения:

jekadva: x = 0,18
alsusadykhova: X=018

Ответы

Ответ дал: gal4enok0071
0
Как то так! Удачи!!!
Приложения:
Вас заинтересует