20 Балів, нескладно, у мене немає часу, будьласка.
1. Розв'яжіть рівняння:
a) x^2 – 9x =0; б)16x^2 – 49.
2. Знайдіть корені рівняння:
a) x^2 – 6x – 280 = 0; б)3x^2 + 8x – 3 = 0.
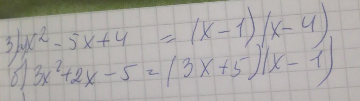
3. Розкладіть квадрвтний тричлен на множники:
a) x^2 – 5x + 4; б)3x^2 + 2x - 5.
4. Урівнянні x^2 + px + 35 = 0 один з коренів дорівнює 7. Знайдіть другий корінь і коефіціент p.
5. Одне з двох натуральних чисел на 5 більше за інше. Знайдіть ці числа, якщо їх добуток дорівнює 266.
6. Розв'яжіть рівняння:
a) (5x – 7)(8x + 1) = (8x + 1)^2;
б) (2x – 1)^4 – 5(2x -1)^2 + 4 = 0.
7. Розв'яжіть рівняння:
2x/(x-3) - 1/(x+3) = 6/(x^2-9). - дріб.
10. При яких значеннях a рівняння
x^2 – (a+2)x + a +5 = 0
має один корінь?
Ответы
Ответ дал:
3
Объяснение:
Остальное не знаю.......
Приложения:
Вас заинтересует
2 года назад
2 года назад
2 года назад
2 года назад
8 лет назад
8 лет назад
9 лет назад
9 лет назад