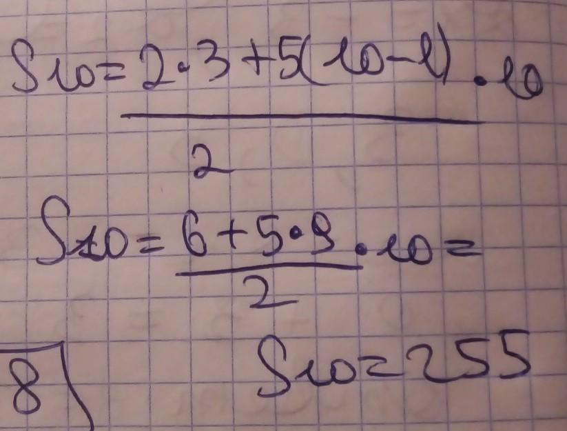
Вычисли сумму первых 10 членов арифметической прогрессии (an), если даны первые члены: 3;8...
S10= ?
Ответы
Ответ дал:
1
Ответ:
Удачи закончить учебный год на отлично
Приложения:

Lika48910:
Спасибо тебе! Добавь пж в друзья
Вас заинтересует
2 года назад
2 года назад
2 года назад
2 года назад
7 лет назад
7 лет назад
9 лет назад
9 лет назад