• Предмет: Алгебра
  • Автор: naruto958
  • Вопрос задан 3 года назад

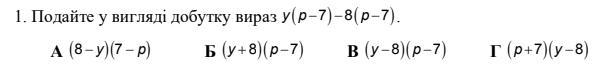
Задания на скриншоте

Приложения:

Ответы

Ответ дал: wilddip
2

Ответ:

(y-8)(p-7) Ответ под буквой В

Объяснение:

y(p-7)-8(p-7)=(y-8)(p-7)

Вас заинтересует