• Предмет: Алгебра
  • Автор: mrhenk4
  • Вопрос задан 3 года назад

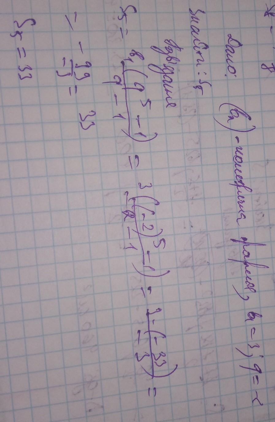
Знайдіть суму перших 5 членів геометричної прогресії (bn), якщо b1=3 ;q=-2

Ответы

Ответ дал: hill384
3

рішення на фото

Відповідь:33

Приложения:
Вас заинтересует