Ответы
Ответ дал:
1
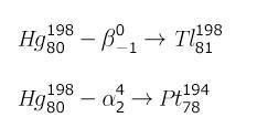
Уравнения альфа-распада и бэта-распада изотопа ртути в файле.
Объяснение: при альфа распаде массовое число получаемого атома уменьшается на 4, а зарядовое число уменьшается на 2. при бэта-распаде массовое число получаемого атома не изменяется, а зарядовое число увеличивается на 1. Химический элемент определяется
по зарядовому числу атома (количество протонов в ядре). Массовое число указывает на количество нуклонов (нейтронов и протонов) в ядре. Изотопы - это атомы с одним и тем же количеством протонов в ядре, но разным количеством нейтронов.
Приложения:

Вас заинтересует
2 года назад
2 года назад
2 года назад
7 лет назад
7 лет назад
9 лет назад