• Предмет: Алгебра
  • Автор: rutakatesan
  • Вопрос задан 3 года назад

Срочно. Знайдіть похідну функції.(производную)

Приложения:

Ответы

Ответ дал: annfrt
0

Ответ:

смотри фото

Объяснение:

Приложения:
Ответ дал: Universalka
0

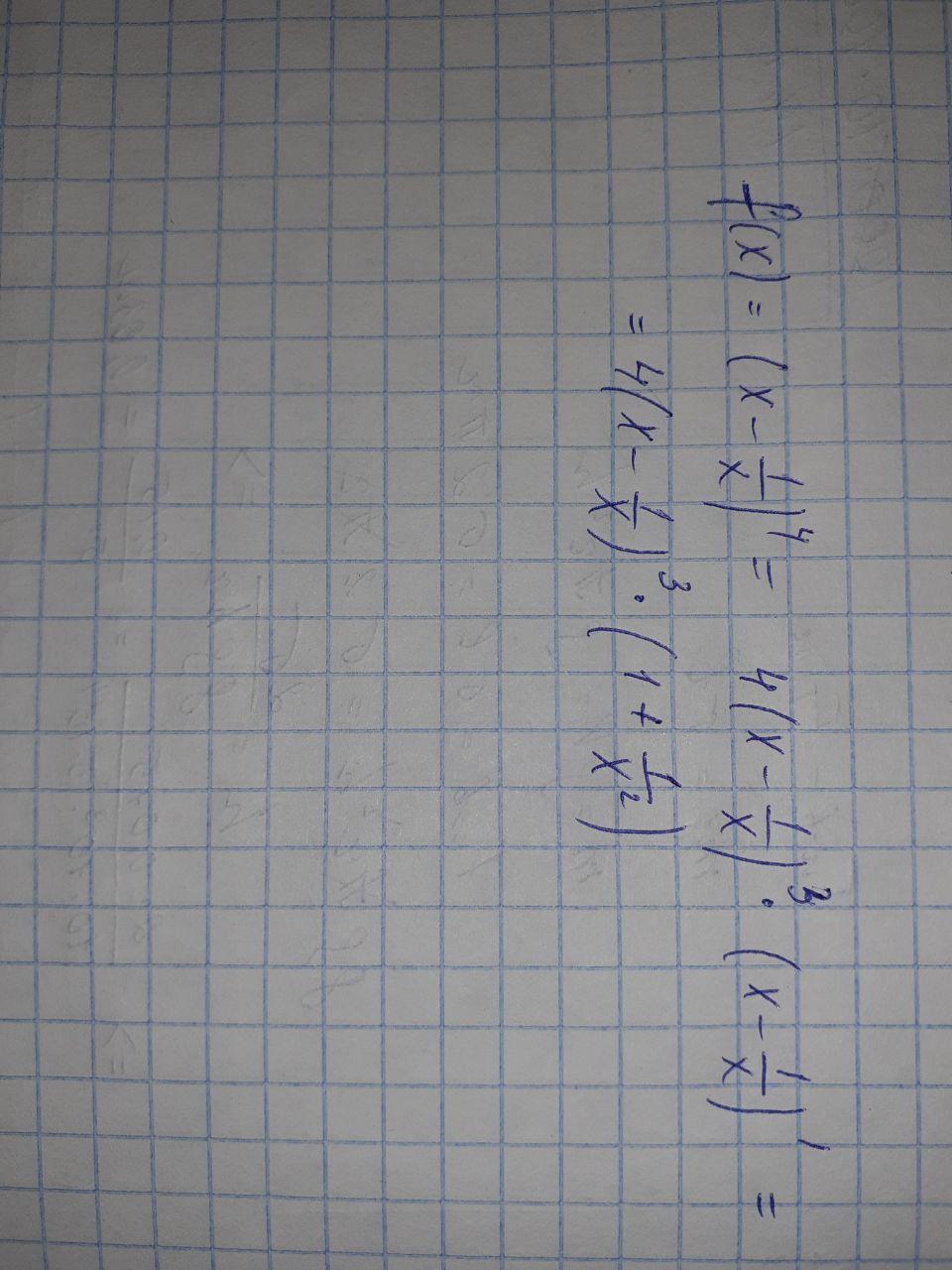
f(x)=(x-\frac{1}{x})^{4}\\\\f'(x)=4(x-\frac{1}{x})^{3}*(x-\frac{1}{x})'=4(x-\frac{1}{x})^{3}*(1+\frac{1}{x^{2}} )

Вас заинтересует