• Предмет: Математика
  • Автор: aidossaulesh
  • Вопрос задан 3 года назад

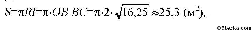
. Биіктігі 3,5 м табанының диаметрі 4 м конус тәрізді шатыр кенеппен жабылған. Шатырға қанша квадрат метр кенеп кеткен?

Ответы

Ответ дал: mshekenova030906
8

Ответ:

BO=1/2 AB=2м

Пошаговое объяснение:

Приложения:
Вас заинтересует