• Предмет: Алгебра
  • Автор: 4343vOVA
  • Вопрос задан 3 года назад

Помогите найти производную

Приложения:

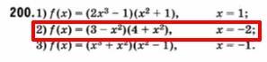
Аноним: только 2) ?
4343vOVA: да

Ответы

Ответ дал: Аноним
2

f(x) = (3-x²)(4+x²) = 12+3x²-4x²-x⁴ = -x⁴-x²+12

f'(x) = -(x⁴)'-(x²)+12' = -4x³-2x

f'(-2) = -4·(-2)³-2·(-2) = 4·8+4 = 36

Ответ: 36.

Вас заинтересует