Ответы
Ответ дал:
10
Ответ:
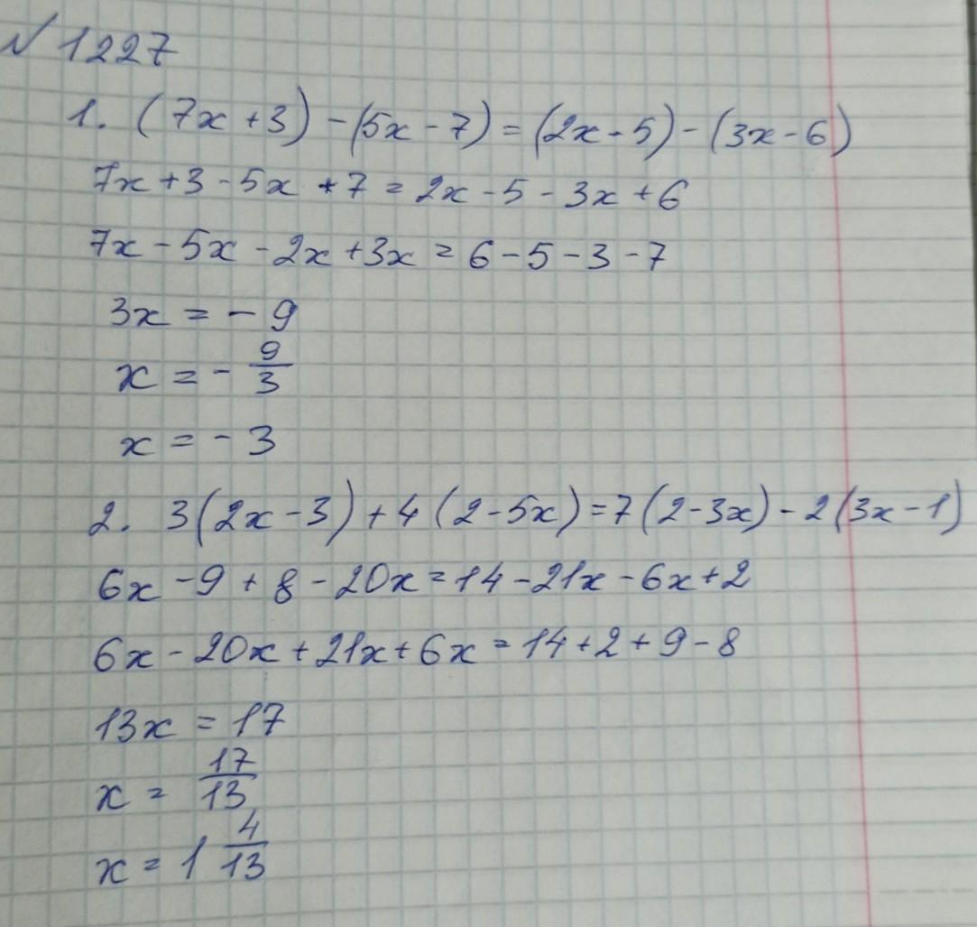
Надеюсь все видно.
Пошаговое объяснение:
Удачи!
Приложения:

Аноним:
да, все видно
Вас заинтересует
2 года назад
2 года назад
2 года назад
2 года назад
7 лет назад
9 лет назад