• Предмет: Математика
  • Автор: Аноним
  • Вопрос задан 11 лет назад

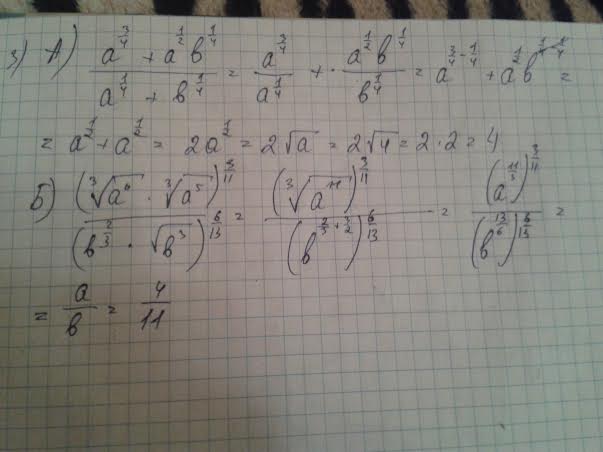
помогите решить практическую срочно прошу очень надо за ранее спасибо

Приложения:

Ответы

Ответ дал: KatyaVnatyre
0
всё.
остальное мне лень.
аахахахаха
Приложения:
Ответ дал: Muraha1
0
,,,,,,,,,,,,,,,,,,,,,,,,,,,,,,,,,
Приложения:
Вас заинтересует