• Предмет: Химия
  • Автор: Parfenovalera04
  • Вопрос задан 3 года назад

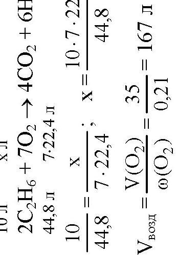
Вычислите объём кислорода (н.у.), необходимый для сжигания 120 г этана.

Ответы

Ответ дал: vasukmaria8
0

как то так ...................

Приложения:
Вас заинтересует