• Предмет: Алгебра
  • Автор: ertwas
  • Вопрос задан 3 года назад

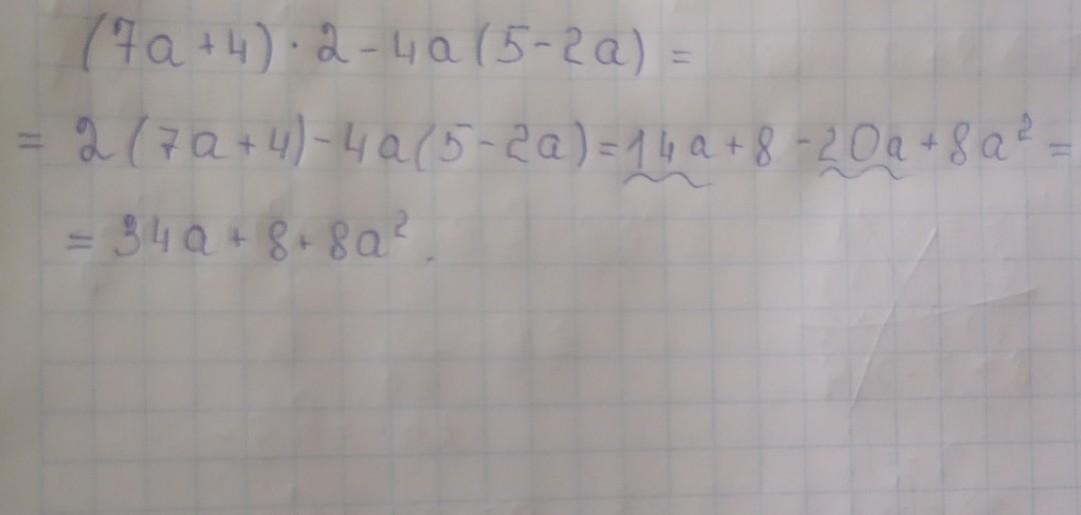
упростите выражения (7a+4)^2-4a(5-2a)

Ответы

Ответ дал: sofidiachenko
1

Ответ:

Завдання розв'язано..

Приложения:
Вас заинтересует