• Предмет: Алгебра
  • Автор: kopalychmail
  • Вопрос задан 3 года назад

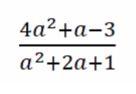
Сократить дробь, пжлст

Приложения:

Ответы

Ответ дал: Аноним
1

Ответ:

Объяснение:

а2+2а+1=(а+1)2

4а2+а-3=3а2-3+а2+а=3(а-1)(а+1)+а(а+1)=(а+1)(а+3а-3)=(а+1)(4а-3)

(а+1)(4а-3)/(а+1)2=4а-3/а+1

Вас заинтересует