• Предмет: Математика
  • Автор: galinagabbasova1625
  • Вопрос задан 3 года назад

Прощу вас помочь мне. Я испытываю некие проблемы с матешой.

Приложения:

Ответы

Ответ дал: anutochka2506
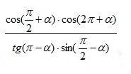
1

Ответ:

-синА*-косА

——————— =

-тгА*косА

СинА

———— =

-тгА

СинА

———— =

СинА

- —————

косА

-косА

Вас заинтересует