Ответы
                                            Ответ дал: 
                                                                                    
                                        
                                            
                                                
                                                
                                                
                                                    1
                                                
                                            
                                        
                                    Ответ:
[5(b+3)]/b
Объяснение:
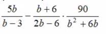
5b/(b-3) - (b+6)/(2b-6) * 90/(b²+6b)=
1)Умножение:
(b+6)/(2b-6) * 90/(b²+6b)=
=(b+6)/2(b-3) * 90/b(b+6)=
Чтобы умножить дробь на дробь, нужно числитель первой дроби умножить на числитель второй, а знаменатель первой дроби умножить на знаменатель второй:
=[(b+6)*90] / [2(b-3*b(b+6)]=
сокращение (b+6) и (b+6) на (b+6), 90 и 2 на 2:
=45/b(b-3);
2)Вычитание:
5b/(b-3) - 45/b(b-3)=
общий знаменатель b(b-3), дополнительный множитель над первым числителем b:
=(5b²-45) / [b(b-3)]=
=[5(b²-9)] / [b(b-3)]=
=[5(b-3)(b+3)] / [b(b-3)]=
сокращение (b-3) и (b-3) на (b-3):
=[5(b+3)]/b.
Вас заинтересует
                
                        2 года назад
                    
                
                        2 года назад
                    
                
                        2 года назад
                    
                
                        7 лет назад
                    
                
                        7 лет назад
                    
                
                        9 лет назад
                    
                