Ответы
Ответ дал:
0
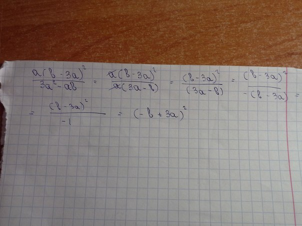
a(b-3a)^2/3a^2-ab = a(b-3a)^2/a(3a-b) = (b-3a)^2/3a-b = (3a-b)^2/3a-b = 3a-b
Ответ дал:
0
надеюсь правильно :)
Приложения:

Ответ дал:
0
а дальше а=2.18 b=-5.6, но блииин, ответ конечный должен получится 5.6, так что я нз, где ошибка(((
Ответ дал:
0
может ответ неправильный?
Вас заинтересует
2 года назад
8 лет назад
8 лет назад
10 лет назад
10 лет назад