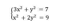
Решите систему двух уравнений. В ответ запишите сумму всех х и у.
пожалуйста, срочно
Приложения:
Ответы
Ответ дал:
1
3x² + y² = 7 |*-2
x² + 2y² = 9
-6x² - 2y² = - 14
Складываем со вторым
-6x² - 2y² + x² + 2y² = -14 + 9
-5x² = - 5
x² = 1
1. x = 1
3*1² + y² = 7
y² = 4
y = +- 2
2. x = -1
3*(-1)² + y² = 7
y² = 4
y = +- 2
ответ (1,2) (1, -2) (-1,-2) (-1, 2)
Сумма 1 + 2 +1 - 2 -1 - 2 - 1 + 2 = 0
Вас заинтересует
2 года назад
2 года назад
2 года назад
2 года назад
8 лет назад
8 лет назад
9 лет назад
9 лет назад