• Предмет: Алгебра
  • Автор: StreetRacer05
  • Вопрос задан 3 года назад

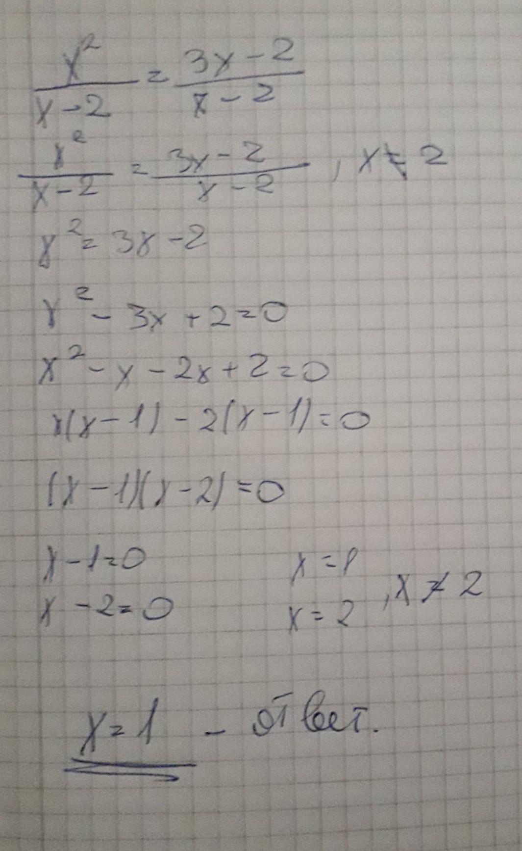
Розв'яжіть рівняння, оно не трудное

Приложения:

Ответы

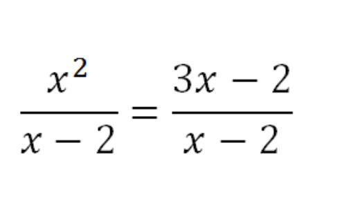
Ответ дал: BillieIero69
1

Ответ:

......................................................

Приложения:
Вас заинтересует