• Предмет: Алгебра
  • Автор: rashidsadulaev
  • Вопрос задан 3 года назад

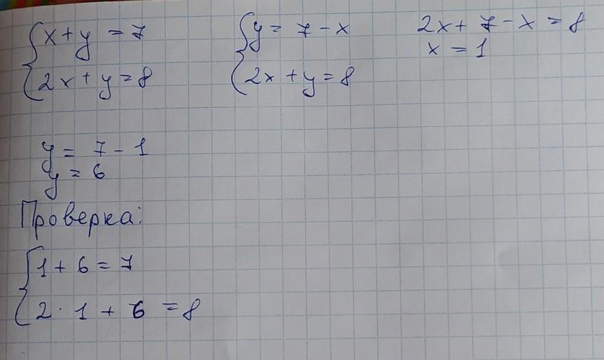
Решите систему уравнений способом подстановки. Выполните проверку, подставив полученное решение в каждое из уравнений

Приложения:

Ответы

Ответ дал: kseniabulatova10
1

Объяснение:

x=7-y;

2(7-y)+y=8.

14-2y+y=8

-y = -7

y = 7

x+7=7

x=0

Ответ дал: libertinka
0

Ответ:

Ответ прикреплен сверху на фото

Приложения:
Вас заинтересует