• Предмет: Алгебра
  • Автор: StreetRacer05
  • Вопрос задан 3 года назад

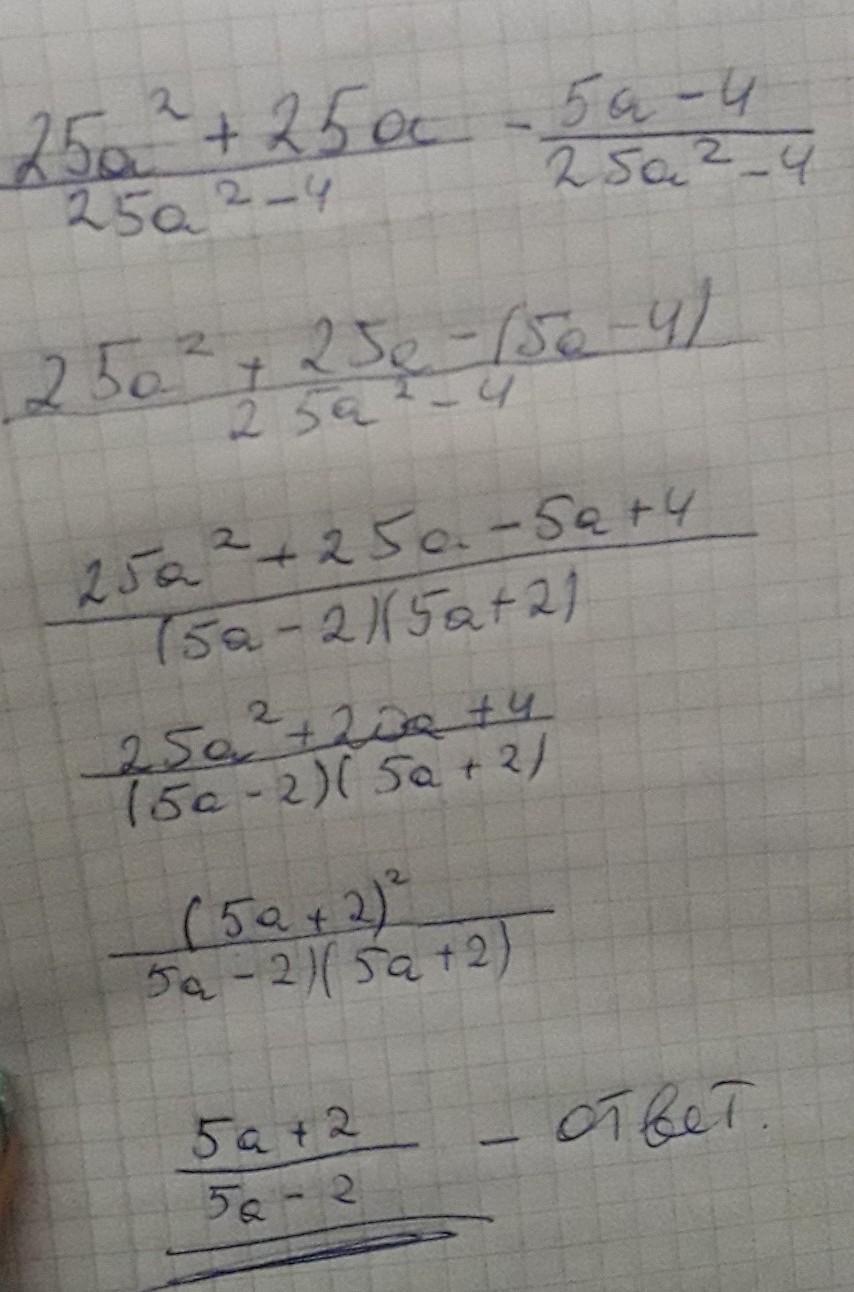
Виконати дії, тут не трудно

Приложения:

Ответы

Ответ дал: BillieIero69
1

Ответ:

.....................................

Приложения:
Вас заинтересует