Ответы
Ответ дал:
1
Ответ:
смотри на фотографию
Пошаговое объяснение:
тутуру
Приложения:

norm42:
лучший, спасибо
Ответ дал:
1
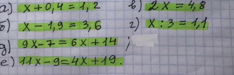
а) х + 0,4 = 1,2
х = 1,2 - 0,4
х = 0,8
б) х - 1,9 = 3,6
х = 3,6 + 1,9
х = 5,5
в) 2х = 4,8 (делим все уравнение на 2)
х = 2,4
г) х / 3 = 1,1
х = 3,3
д) 9х - 7 = 6х + 14
9х - 6х = 14 + 7
3х = 21 (делим все уравнение на 3)
х = 7
е) 11х - 9 = 4х + 19
11х - 4х = 19 + 9
7х = 28 (делим все уравнение на 7)
х = 4
Вас заинтересует
2 года назад
2 года назад
2 года назад
2 года назад
7 лет назад
9 лет назад