• Предмет: Алгебра
  • Автор: lizazimcenko
  • Вопрос задан 3 года назад

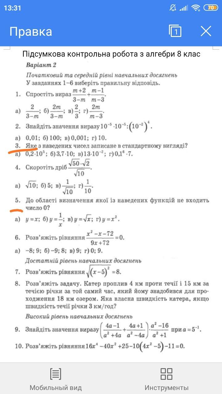
Помогите пожайлустас 3 ,5 пунктами

Приложения:

Ответы

Ответ дал: Olega999
0

Відповідь:

3-а 5-б

Пояснення:

3- a. 5-б

Ответ дал: Глеб847463728
0

Ответ:

3-в 5-хз все остальное изи

Вас заинтересует