Ответы
Ответ дал:
1
Ответ:
Сейчас остальные решу, если ещё надо
...........
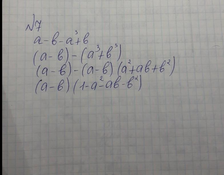
6 не помню, как решать, поэтому взяла с интернета, так что за правильность не ручаюсь
Приложения:



SASHAFOTO55:
Надо
Вас заинтересует
2 года назад
2 года назад
2 года назад
7 лет назад
7 лет назад
9 лет назад