• Предмет: Алгебра
  • Автор: vikusanice1207
  • Вопрос задан 3 года назад

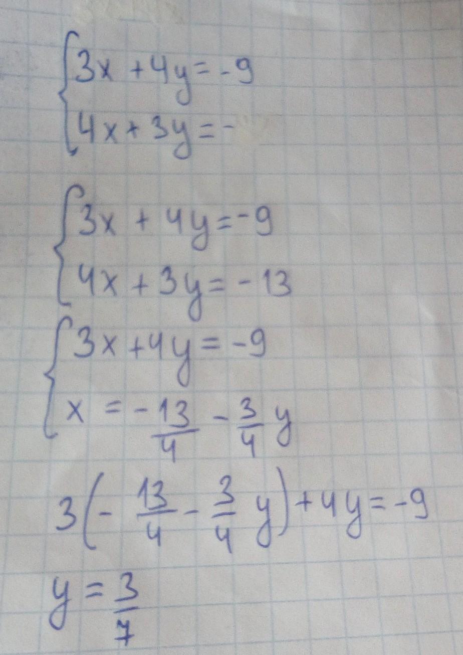
{3x+4y=-9
{4x+3y=-13
ДОМОПОЖІТЬ​

Ответы

Ответ дал: princess2007nastya
0

Ответ:

Відповідь зверху

Якщо щось не зрозуміло тоді напиши в коментарії я поясню

Приложения:
Вас заинтересует