• Предмет: Алгебра
  • Автор: alsfaskfhy2
  • Вопрос задан 3 года назад

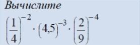
Вычислите
(\frac{1}{4})^{-2} * (4,5)^{-3}  * (\frac{2}{9} )^{-4}

Приложения:

Ответы

Ответ дал: vikaleev2003
1

Ответ:

Объяснение: (1/4)^-2×(4,5)^-3×(2/9)^-4

1:(1/4)^2×1:4,5^3×1:(2/9)^4

1:(1/16)×1:91,125×1:(16/6561)

16/1×1/91,125×6561/16=72

Вас заинтересует