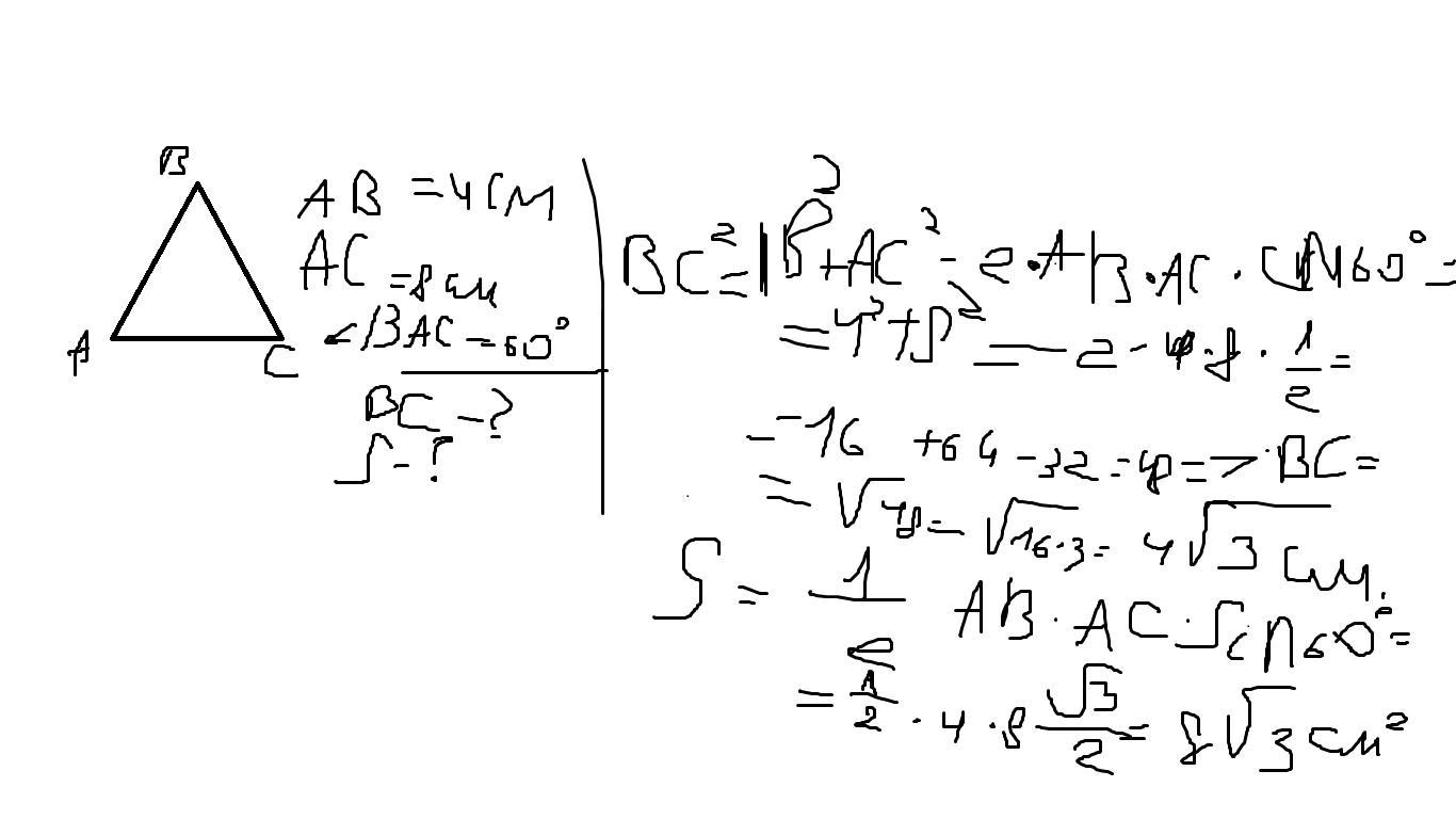
Дві сторони трикутника дорівнюють 4 см і 8 см,а кут між ними - 60.Знайдіть третю сторону трикутника та його площу.
Ответы
Ответ дал:
2
Ответ:
Ответ на картинке
Объяснение:
Приложения:

Вас заинтересует
2 года назад
2 года назад
7 лет назад
9 лет назад