Прошу помочь с задачей по химии!
Не могу понять,как тут составить уравнения реакций...
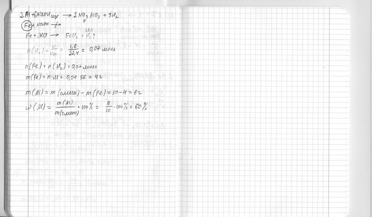
К 10 г смеси алюминиевых и железных опилок добавили избыток NaOH.Оставшийся осадок был отфильтрован,высушен в растворе HCL,при этом выделилось 1,6 л водорода. Определите процентное содержание алюминия в смеси.
Заранее спасибо!:)
Ответы
Ответ дал:
0
.................................................
кто увидит ошибки скажите
кто увидит ошибки скажите
Приложения:

Вас заинтересует
2 года назад
8 лет назад
10 лет назад
10 лет назад
10 лет назад