• Предмет: Математика
  • Автор: yaico123
  • Вопрос задан 3 года назад

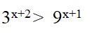
Решить показательное неравенство

Приложения:

Ответы

Ответ дал: Эльвира5102
1

3^{x+2} >9^{x+1}\\3^{x+2} >3^{2x+2} \\ x+2>2x+2\\ x>2x\\ x-2x>0\\-x>0\\x<0


yaico123: Немного не успели, но всё-равно спасибо!
Эльвира5102: nfv pyfr vtyztncz?tckb xnj
Эльвира5102: там знак меняется..
yaico123: А, ок, не разобрался, сорян
Эльвира5102: :(
Вас заинтересует