Ответы
Ответ дал:
1
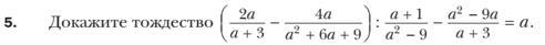
Ответ: ответ и решение представлены на фото
Объяснение:
Приложения:

Ответ дал:
1
Ответ: тождество доказано
а = а
Объяснение:
На фотографии там по действиям всё расписано
Приложения:

Вас заинтересует
2 года назад
2 года назад
7 лет назад
9 лет назад
9 лет назад