• Предмет: Математика
  • Автор: lyudazapashikova
  • Вопрос задан 3 года назад

Решите пожалуйста дам 30 баллов СРОЧНОООО можно без объяснений

Приложения:

lyudazapashikova: Первому ответившему дам лучший ответ

Ответы

Ответ дал: sveta39461
1

Ответ:

Пошаговое объяснение:

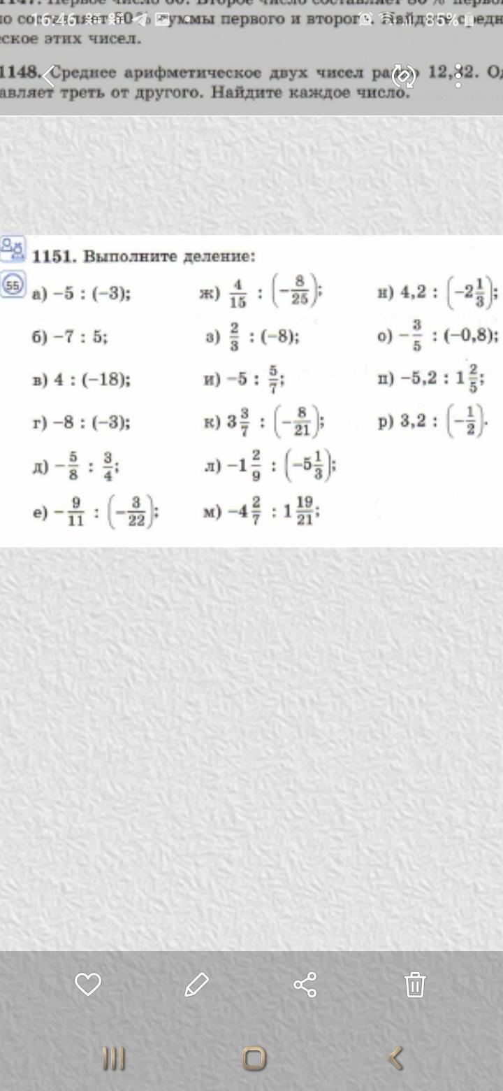
а) -5 : ( -3 ) = 1 2\3

б) -7 : 5 = -1 2\5

в) 4 : ( -18 ) = -2\9

г) -8 : ( -3 ) =  2 2\3

д) -5\8 : 3\4 = - 5\6

е) - 9\11 : ( -3\22 ) = 6

ж) 4\15 : ( -8\25 ) = -5\6

з) 2\3 : ( -8 ) = -1\12

и) -5 : 5\7 = -7

к) 3 3\7 : ( -8\21 ) = -9

л)- 1 2\9 : ( -5 1\3 ) = 11\48

м) - 4 2\7 : 1 19\21 = -2 1\4

извини, с последними не подскажу(

н) 4,2 : ( -2 1\3 ) =

о) -3\5 : ( -0,8 ) =

п) -5,2 : 1 2\5 =

р) 3,2 : ( -1\2 ) =

Вас заинтересует