• Предмет: Алгебра
  • Автор: Alina23812737
  • Вопрос задан 3 года назад

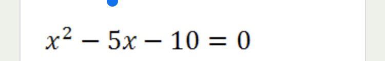
Чому дорівнює сума коренів рівняння:
Поомогитее

Приложения:

Ответы

Ответ дал: sofiyat250534
1

Ответ:

x1 + x2 = 5

Объяснение:

Вас заинтересует