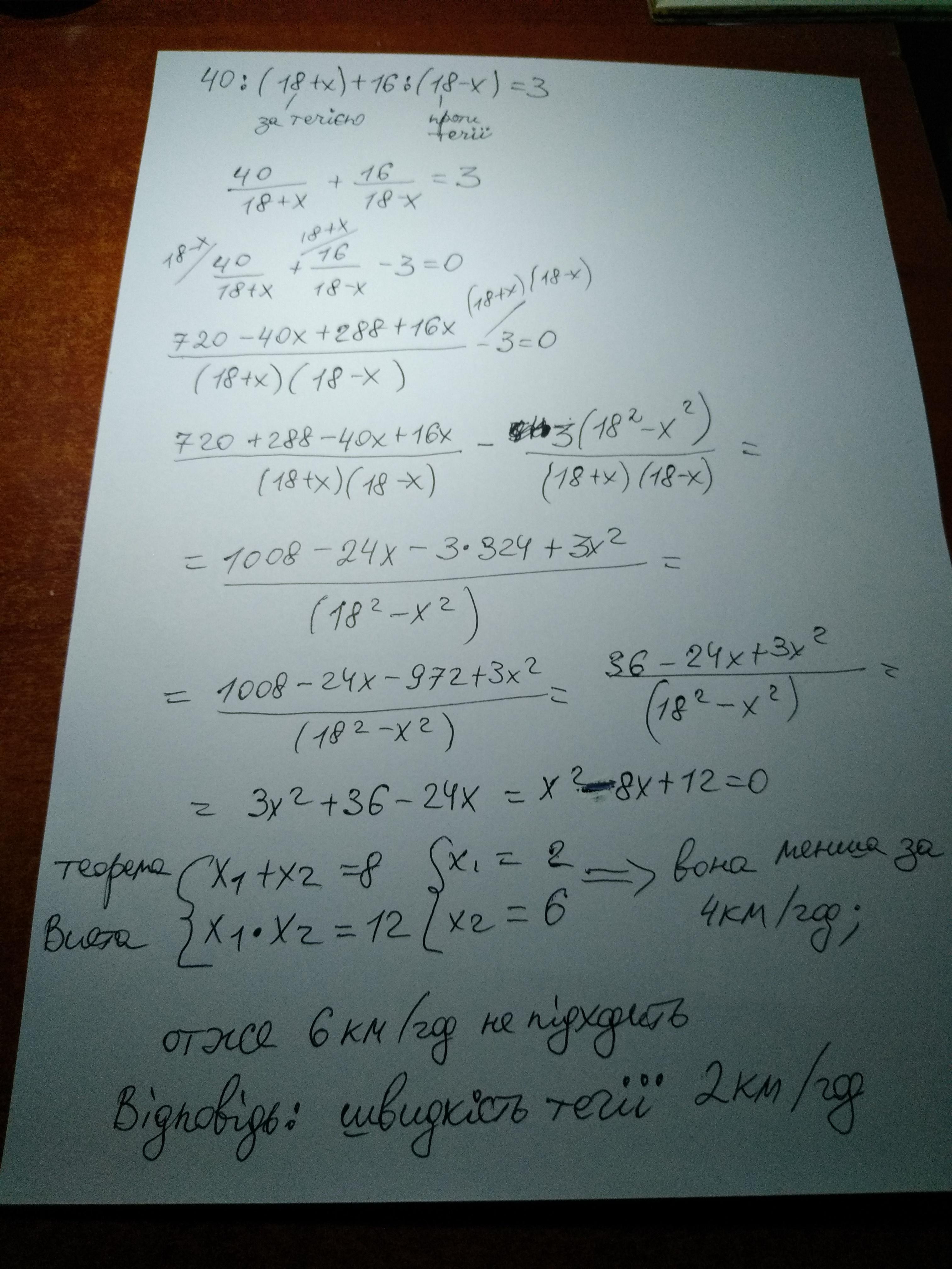
9. Човен, власна швидкість якого 18 км/год, пройшов 40 км за течією і 16 км проти течії, витративши на весь шлях 3 год. Яка швидкість течії, якщо відомо, що вона менша за 4 км/год? Хелппппп!!
Ответы
Ответ дал:
0
Ответ:
Пошаговое объяснение:
смотри решение
Приложения:

Вас заинтересует
2 года назад
2 года назад
7 лет назад
9 лет назад
9 лет назад