• Предмет: Алгебра
  • Автор: Alina23812737
  • Вопрос задан 3 года назад

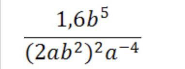
Спростіть вираз:
Помогитее

Приложения:

Ответы

Ответ дал: pepe42
0

.........................

Приложения:
Ответ дал: mashao0
1

........................

Приложения:
Вас заинтересует