помогите пожалуйста срочно
Реши систему уравнений способом алгебраического сложения.
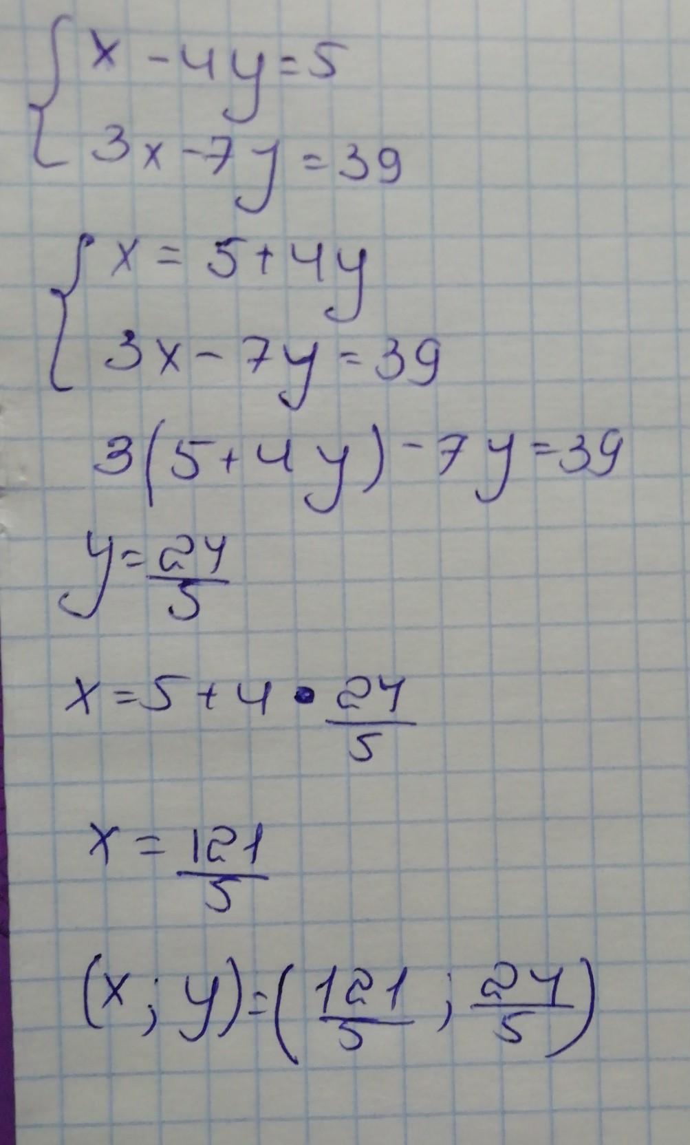
{x−4y=5
3x−7y=39
Ответ:
x=
;y=
.
Ответы
Ответ дал:
0
Ответ:
............
x=121/5
y=24/5
Приложения:

Вас заинтересует
2 года назад
2 года назад
2 года назад
2 года назад
7 лет назад
7 лет назад
9 лет назад